Комментарии 0
...комментариев пока нет
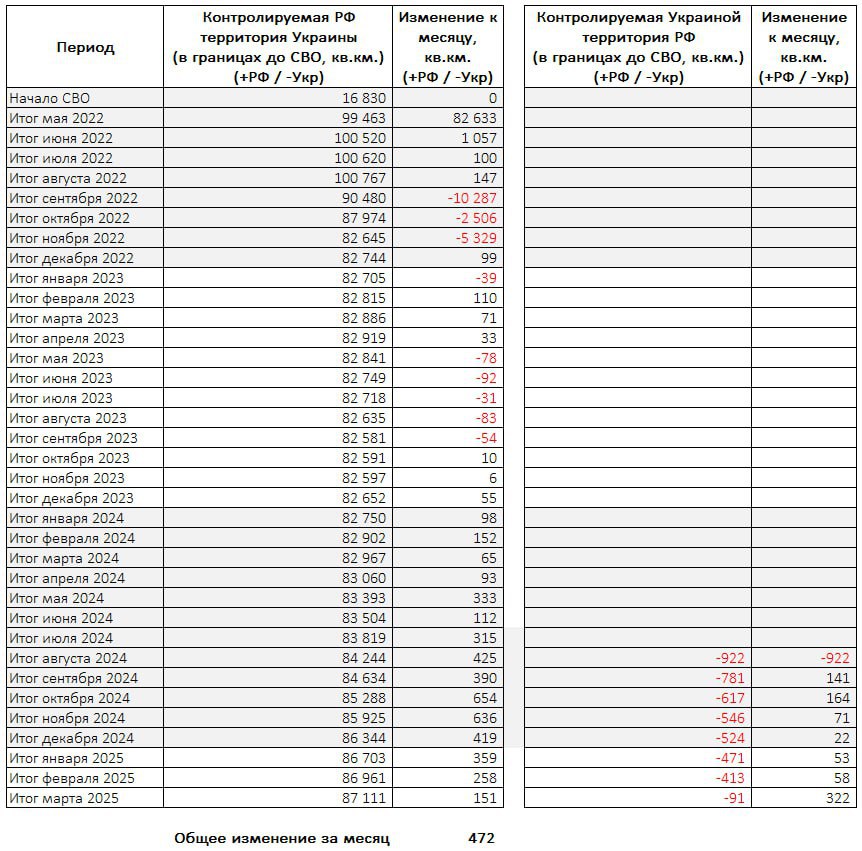
Территориальные итоги марта 2025 в зоне СВО и КТО.
За месяц ВС РФ освободили свыше 470 км² территории.
Оккупированная ВСУ площадь Курской и Белгородской областей сократилась до менее чем 100 км².
Инфографика по данным картографического сервиса @lost_armour