Минздрав Подмосковья выложил обновлённый список из 140 пострадавших в "Крокусе"

Число пострадавших при теракте в "Крокус сити холле" в подмосковном Красногорске вечером 22 марта достигло 140 человек. Обновлённый список опубликован на сайте Минздрава Московской области.

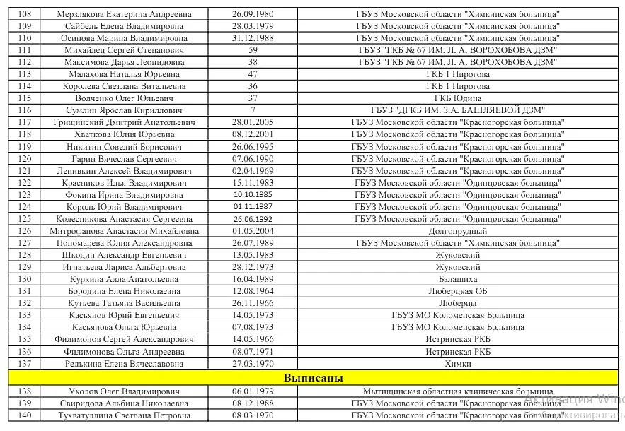
Обновлённый список из 140 пострадавших в "Крокусе". Фото © Минздрав Подмосковья

Обновлённый список из 140 пострадавших в "Крокусе". Фото © Минздрав Подмосковья

Обновлённый список из 140 пострадавших в "Крокусе". Фото © Минздрав Подмосковья

Обновлённый список из 140 пострадавших в "Крокусе". Фото © Минздрав Подмосковья

Согласно сообщению министерства, 105 из раненых находятся на стационарном лечении. Ещё трое выписаны после оказания помощи, остальным помогают амбулаторно. В московских городских больницах находятся 93 человека, уточнил Депздрав Москвы.

Обновлённый список из 140 пострадавших в "Крокусе". Фото © Минздрав Подмосковья

Обновлённый список из 140 пострадавших в "Крокусе". Фото © Минздрав Подмосковья

Обновлённый список из 140 пострадавших в "Крокусе". Фото © Минздрав Подмосковья

Обновлённый список из 140 пострадавших в "Крокусе". Фото © Минздрав Подмосковья

Обновлённый список из 140 пострадавших в "Крокусе". Фото © Минздрав Подмосковья

Обновлённый список из 140 пострадавших в "Крокусе". Фото © Минздрав Подмосковья

Информация на этой странице взята из источника: https://life.ru/p/1648077