Комментарии 0
...комментариев пока нет
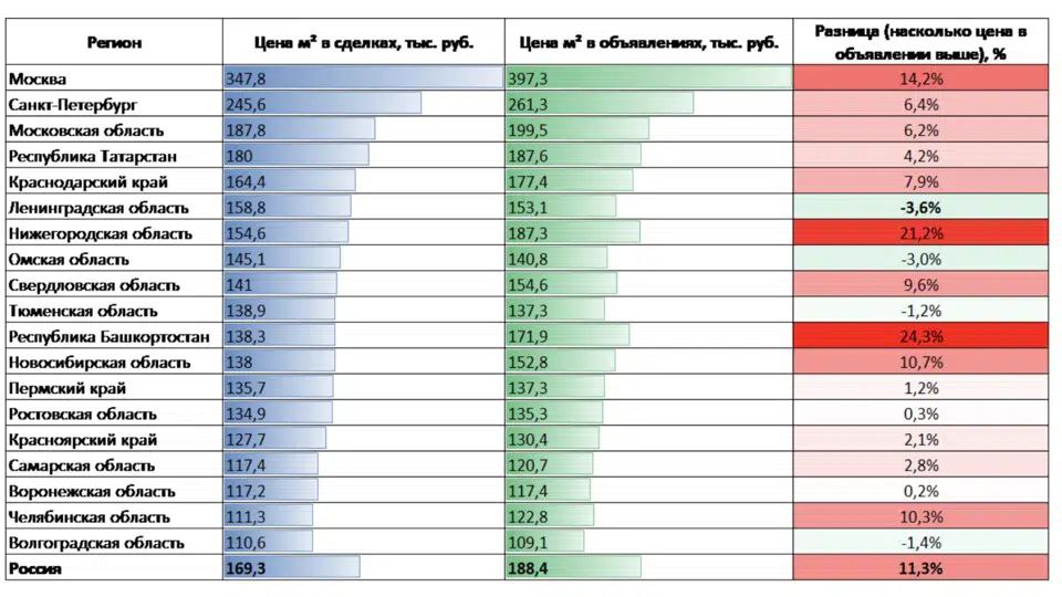
Реальные сделки по жилой недвижимости проводятся значительно дешевле цен в объявлениях. По данным СберИндекса, в октябре средняя стоимость кв. м на первичном рынке России составила 169,3 тыс. рублей. С большим отрывом лидируют Москва и Санкт-Петербург (347,8 тыс. и 245,6 тыс. соответственно). Уровень цен выше общероссийского также отмечен в Московской области и Республике Татарстан.
Средняя цена предложения (по объявлениям на сайте Домклик) — 188,4 тыс. рублей. Это на 11,3% больше, чем по ипотечным сделкам. @banksta