Комментарии 0
...комментариев пока нет
Видео по теме
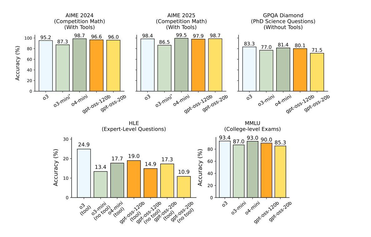
⚠️ OpenAI выкатили бомбу: Сэм Альтман представил сразу две имба нейросети с открытым кодом — впервые за 6 лет. Они почти на уровне o4-mini по возможностям.
Что это значит:
• Можно поставить прямо на ноутбук или смартфон;
• Намного умнее китайских аналогов – это сейчас лучшие open-source модели;
• Спокойно ведут длинные, осмысленные диалоги;
• Поддерживают инструменты – поиск, код, работу с Python и т.п.;
• Инструменты подключаются даже при сложных, многошаговых задачах – если нужно разобрать или написать код, модель справится.
Имбу можно запустить прямо в браузере:
gpt-oss.com
Или установить на комп:
github.com/openai/gpt-oss
Всё? Нет. Уже завтра выходит GPT-5 — это будет самая мощная нейросеть в мире:
• Новая модель объединит все функции в одном чате;
• Слитая версия уже работает с сайтами и приложениями, и за минуту собрала симулятор ракетных запусков;
• Другая версия, под названием Zenith, по слухам, создала Minecraft и Doom за один промпт + сайт с симуляцией планет;
Даже слитые прототипы без полноценного reasoning уже на уровне топ-моделей от конкурентов, значит, релизная версия задаст новый стандарт.
Уже 7 августа готовимся к революции 👍
🙈 Подписаться на Лепру 🙈